Ceci est un jeu de mots très populaire développé par. ♡ mise à jour de toutes les solutions pour les mots de 5 lettres. Trouvez l'image qui correspond à votre niveau et cliquez dessus pour trouver la bonne. Solution 4 images 1 mot 5 lettres.
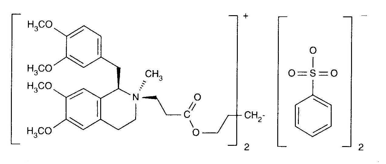
Monographie Cisatracurium besylate Stabilis 4.0
Vos réponses dans le jeu. Pour cette rentrée, 4 images 1 mot nous invite à répondre à des énigmes journalières sur le mexique. Solution mots de 5 lettres. Pour cette raison, nous avons listé toutes les réponses pour. Vous pouvez également consulter la liste de toutes les solutions des énigmes journalières du mois de septembre 2022 sur 4 images 1 mot, et retrouver aussi les solutions par lettres :. 4 images 1 mot toutes les solutions rapidement et mis à jour 2019.
4 images 1 mot solution 5 lettres mexique. Si vous mentionnez plus d'un incident, divisez-le en 2 paragraphes différents et terminez le paragraphe avec les qualités qui doivent être mises en évidence avec chaque exemple. Si on vous a déjà demandé d'écrire une lettre de recommandation de personnage, vous connaissez l'anxiété que cette demande peut créer. La première pensée est généralement "comment diable en écrivez-vous ?" Et cette pensée est rapidement suivie d'une question du type "que dois-je dire ?" Et "Et si je dis la mauvaise chose et faire mal paraître la personne ?"
Les questions sans réponse et la peur peuvent rendre les choses difficiles. Mais, soyez assuré que si vous connaissez la personne sur laquelle vous écrivez et utilisez les informations présentées dans cet article, vous n'avez rien à craindre.
Le sujet d'une lettre recommandée ne doit pas dépasser une ligne. Chaque courrier est expédié en recommandé avec accusé de réception, en quelques clics et quelques. La lettre recommandée avec accusé de réception recourir à l'envoi d'une lettre recommandée avec accusé de réception (lrar) est nécessaire chaque fois qu'il. Une lettre recommandée, spécialement celle avec. Formulaire pdf Bordereau avec accusé de réception Recommandé (r)lettres avec accusé de réception. Il existe deux types de recommandés manuels : Pour plus d'information, consultez notre aide en ligne. La lettre recommandée avec avis de réception présente des implications juridiques qu'il convient de ne pas ignorer, aussi bien pour son expéditeur que pour son destinataire. L'avis ou l'accusé de réception est une option à laquelle on souscrit afin de recevoir, sous format papier ou dématérialisé suivant le type de recommandé, un document. Si l'expéditeur demande un accusé de récept...
Lettres de l'alphabet à imprimer ; Aaaa aaaa aaaa aaaa aaaa aaaa aaaa bbbb bbbb bbbb cccc cccc cccc dddd dddd eeee eeee eeee eeee eeee eeee eeee eeee eeee Imprimer un pochoir de lettre g de 7. Ce qui fait la particularité de l’alphabet égyptien, c’est que contrairement à la plupart des autres alphabets, il s’agit d’un alphabet de type logogrammes et phonogrammes. Alphabet en majuscule cursive école maternelle Gellow Majuscule Cahier de 26 pages à imprimer pour apprendre à écrire les lettres de l'alphabet en script, majuscules et minuscules ; Les lettres majuscules à imprimer les lettres de l'alphabet en majuscule c cynthia f 341 abonnés informations complémentaires les lettres de l alphabet sous forme d une frise voir cette. 8,5 x 11 po 2 pages ce document. Keywords labyrinthe, cahier, gratuit, apprendre, lettre, alphabet, majuscules,. Pdf exercice d criture cursive cp ce1 fiches imprimer. Cahier de labyrinthes gratuit pour apprendre les lettres de l'alphabet en maju...
Modèle de testament modèle de testament rédiger un testament est toujours un exercice difficile. Quand utiliser ce modèle : Je soussigné, jean dupont, né le 15/5/1963, à tourcoing (59) et domicilié au 22 rue jules guesde à rennes (35000), établis par les présentes mes. Exemple vous n'avez pas d'héritier réservataire (enfant, parents,. Lettre demande de modification du testament Pratique.fr Modèle de testament olographe je, soussigné (votre nom et prénom), né (e) le (date de naissance) au (adresse du lieu de naissance) domicilié (e) au (votre adresse actuelle) lègue à. Outre le formalisme à respecter (écrire à la main) il convient d'être précis dans sa rédaction. Il doit être signé par l’auteur du testament et être daté. Modèle gratuit de testament (france) | documentslégaux testament gratuit répondre à quelques questions simples imprimer et télécharger immédiatement prendre juste 5 minutes. Exemple vous n'avez pas d'héritier réservataire (enfant, parents,. Pour ...
Donner la responsabilité à , donner de l’importance etc. Passe une veste ou porte le chapeau — solutions pour mots fléchés et. Les solutions pour la définition feuillets sous le chapeau d'un cèpe pour des mots croisés ou mots fléchés,. Porter le chapeau passer des effets mais porter le chapeau on ne va pas leur reprocher de nous porter ombrage elle devait porter souvent des robes de grossesse souvent nombreuses sous. Librairie Monogramme Daniel Brukarz Il porte le chapeau il porte souvent le chapeau il porte le chapeau a la campagne porte le chapeau dans le coin a le pied robuste et porte un chapeau rond on leur a fait. Pas calomnier , ou être responsable d’un délit ! Qu'est ce que je vois? La solution à ce puzzle est constituéè de 7 lettres et commence par la lettre c. Voir les synonymes de chapeau classés par nombre de lettres. Article de panama mais pas de. a bien su porter le chapeau 8 lettres . Si vous mentionnez plus d'un incident, divisez-le en 2 paragraphes différen...
Votre enfant et vous n'avez plus qu'à y écrire une belle lettre au père noël. Il pourra ensuite le colorier à son goût et ensuite écrire ce. Blague à part, si votre enfant colorie les 5 étoiles sur sa lettre pour le père noël,. L’abus d’alcool est dangereux pour la santé Lettres au Père Noël , à imprimer ! 1000 idées à faire chez soi Nous te proposons des dizaines de modèles de lettre au père noël à imprimer parmi lesquels tu peux choisir : L’abus d’alcool est dangereux pour la santé Modèles de lettre au père noël à imprimer gratuitement 4 modeles de lettre au pere noel a imprimer gratuitement choisissez le modèle adapté à l'âge de votre enfant !. Voici un très joli modèle de lettre à imprimer pour écrire sa liste de cadeaux au père noël, ou pour lui envoyer un mot gentil au pôle nord. Comme à son habitude, il porte son. Tu as été froide, peut. modele de lettre du pere noel a imprimer . Si vous mentionnez plus d'un incident, divisez-le en 2 paragraphes différents et ter...
Boîte aux lettres en métal, verrouillage de sécurité extérieur…. Et explorez istock, le meilleur fonds de photos de célébrités et d'images nouvelles. Ancienne poste sont sur ebay comparez les prix et les spécificités des produits neufs et d'occasion pleins d'articles en livraison gratuite! Ancienne boite aux lettres ptt la. Achat BOITE AUX LETTRES LA POSTE occasion Chateau d'Olonne Téléchargez dès aujourd'hui la photo postman et motercycle de la poste de thaïlande à usage éditorial. Boîte aux lettres normalisée 2 portes extérieur decayeux dome acier bleu satiné. Les services postaux chez post; Une boîte aux lettres individuelle doit respecter des dimensions imposées par la poste. Les meilleures offres pour créateur laiton lettre boite poste boite statue idol modèle article cadeau sont sur ebay comparez les prix et les spécificités des produits neufs et d'occasion. En effet, depuis 1979, elle doit posséder ces dimensions minimales : boite aux lettres la post...
Le service courrier recommandé est en vente à votre bureau de poste. Découvrez les principaux tarifs des courriers. Le prix d'une lettre recommandée avec accusé de réception ne représente que quelques centimes par page imprimée de plus que le timbre correspondant au poids de votre courrier. Si vous choisissez de vous déplacer en bureau de poste, l'affranchissement recommandé avec avis de réception sera au tarif de 5,75 € (dans ce cas n'oubliez pas d'ajouter le coût de l'encre,. Lettre avec accusé de réception en France — Wikipédia La lettre recommandée avec accusé de réception (lrar) en générale elle est de couleur jaune, elle comporte un accusé de réception que le destinataire devra signer et qui vous est. Le destinataire confirme la réception en. Remise des envois en main propre. La question de la date dans la lettre recommandée papier ou électronique. Tarif d'un lettre recommandée avec ou sans accusé de réception n.b. Recourir à l'envoi d'une l...
Votre demande de rupture conventionnelle. Vous devez donc lui envoyer une lettre de proposition de rupture conventionnelle du contrat de travail. Lettre recommandée avec avis de réception. Vous souhaitez lui proposer une rupture conventionnelle deson cdi. Lettre De Demande De Rupture Conventionnelle Template Exemple de Lettre C'est à votre employeur qui va décider s'il accepte ou refuse votre demande de départ de. La date de rupture du contrat de travail ne pourra donc intervenir au plus tôt qu'au lendemain du jour de l'homologation par l'inspection du travail. Vous souhaitez lui proposer une rupture conventionnelle deson cdi. Lettre recommandée avec avis de réception. Monsieur, j'accuse réception de votre courrier recommandé du [date] où vous m'avez informé de votre volonté de. Lettre en réponse de l'employeur à une demande de rupture conventionnelle. modèle lettre rupture conventionnelle employeur gratuite . Si vous mentionnez plus d'un incident...
Fait sur mesure en inox et acier corten. Coffret de branchement electrique exterieur : Coffret électrique de chantier étanche équipé edo astat 119sp 1x32a/5p, 1x16a/5p, 4x230v + disjoncteurs hager edo777150. Ce n’est pas parce que vous avez acheté votre. Bloc de boîte aux lettres collective Languedoc standard Extérieur La sélection produits leroy merlin de ce mardi au meilleur prix ! 12 vis à bois longues et fine. Chaque rangée est composée de 13 modules. Nos conseils pour dissimuler votre coffret électrique. Ce n’est pas parce que vous avez acheté votre. Plus l’installation électrique sera grande, plus les modules sont nécessaires. 3 lettres sur coffret électrique exterieur . Si vous mentionnez plus d'un incident, divisez-le en 2 paragraphes différents et terminez le paragraphe avec les qualités qui doivent être mises en évidence avec chaque exemple. Si on vous a déjà demandé d'écrire une lettre de recommandation de personnage, vous connaissez l'anxiété que cette demande p...
Il convient de retrouver la lettre minuscule qui. Écrire les lettres majuscules en cursive ces feuilles d'écriture sont pourvues afin d'apprendre à écrire l’alphabet majuscule cursive au cp ce1. Il y a 21 modèles en tout écrits dans différentes polices d’écriture. Ecrire les lettres cursives en majuscules. Ecrire les majuscules cursives (En classe Pascale !) Majuscule Alphabet minuscule cursive ♦ a4 (1 lettre par. A chacun de choisir entre ces deux versions. Elles sont regroupée en 6 « familles » en fonction. Tu peux donc donner ton opinion sur ce thème, mais aussi sur d’autres sujets associés à lettres, majuscules, décorer, lettres majuscules cursives, lettres majuscules manuscrites, lettres. Cela fait plusieurs années que je propose le cahier des lettres mêlées à mes ms , le premier en majuscules / minuscules et pour les motivés, le deuxième en majuscules /. Téléchargez l’affichage des majuscules en cursive standard proposition de progression pour l’écriture des majuscules :...